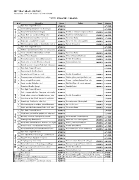
OGLASI Tjedni jelovnik Restorana Klara 26/01/2026 Radio Križevci Tags: KTC, RESTORAN KLARA Continue Reading Prijašnja vijest Tržnica Radija Križevci 26.1.2026.Sljedeće Tržnica Radija Križevci 27.1.2026. Propustili ste: OGLASI Restoran Klara KTC – tjedni jelovnik 23/03/2026 Radio Križevci OGLASI Radio plac – 5. ožujka 05/03/2026 Radio Križevci OGLASI Radio plac – 4. ožujka 04/03/2026 Radio Križevci